Da Shapeheart, ci piacciono i calcoli.
Quindi, ecco i numeri per spiegare come il nostro sistema magnetico brevettato è in grado di sollevare oltre 8 kg e resiste sempre e comunque alla velocità del vento.
E ve lo spieghiamo anche in video 👉

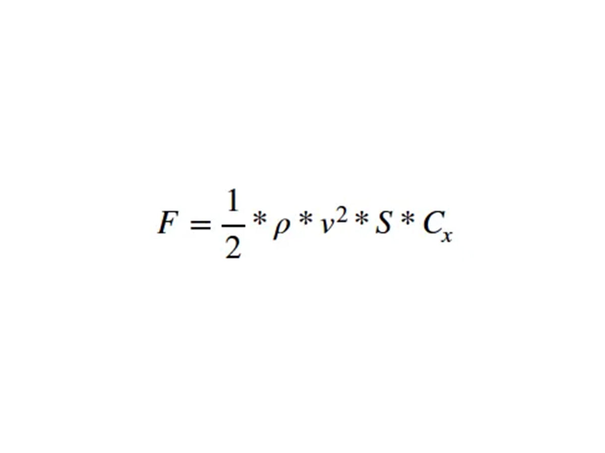
Formula
In flusso turbolento, la forza applicata dal vento sulla custodia si esprime come segue:
Nessun problema, spieghiamo tutti i parametri qui sotto:
• r è la densità dell'aria = 1,292 kg.m-3
• v è la velocità in m.s-1
• S è la superficie della custodia = 18 * 10 cm2
• Cx è il coefficiente di resistenza = 1,1
• F è la forza espressa in Newton

Per 8kg = 80N (N per Newton) di forza del nostro sistema magnetico, la velocità teorica massima si ottiene con la formula:

Velocità teorica massima
Se tracciamo questa curva, otteniamo:
Y: velocità
X: forza di magnetizzazione in N

Questo sistema magnetico genera una forza di 80 N, pari a 8 kg, che garantisce una velocità teorica di 285 km/h:
Da notare che, nella pratica, questa velocità è probabilmente il doppio:
Il telefono non è mai posizionato a 90° (verticale) rispetto al vento, ma piuttosto a 45°, e la struttura della moto rompe e rallenta il flusso d'aria vicino al manubrio.
